Advertisement
Advertisement
ICSE 2020 Chemistry Question Paper for Class 10

ICSE
•Chemistry•2020PDFUnknown9 pages
ICSE 2020 Chemistry solved question paper for class 10 - prepared by our expert teachers download and view previous year ICSE Chemistry 2020 question and solve them to make sure you are well prepared.
Downloaded from www.cisce.org
Page 1
Page 2
Page 3
Page 4
Page 5
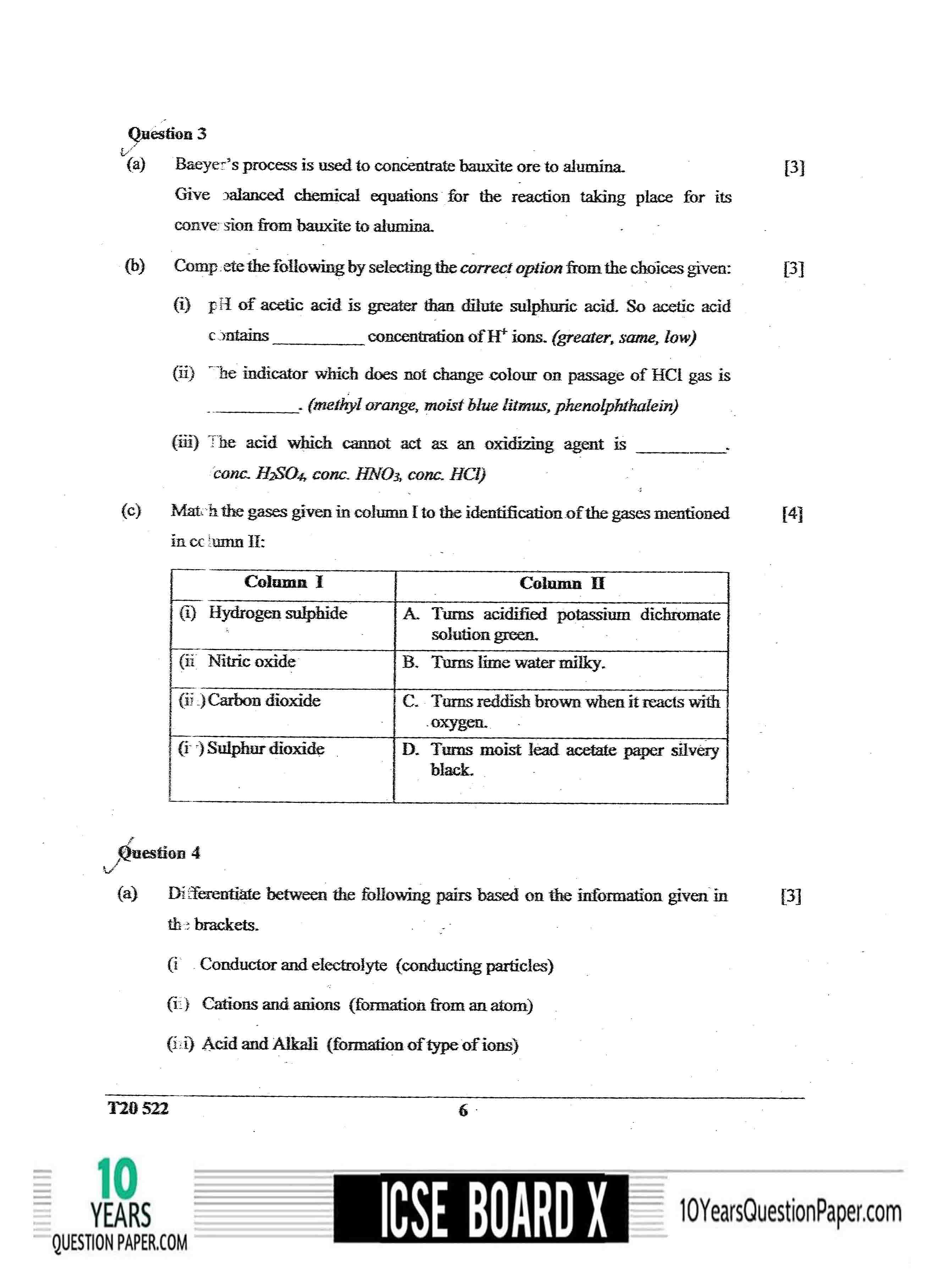
Page 6
Page 7
Page 8
Page 9
1 / 9
100%
Advertisement
Advertisement
Advertisement
Advertisement
Advertisement
Advertisement








